- Services
- Industries
- Automotive
- Battery
- Building inspection
- Fire alarms system testing
- Household appliances
- Installation materials
- Industrial machinery
- IT & audio video
- Laboratory, test & measurement
- Lighting equipment
- Maritime, oil & gas
- Medical & healthcare equipment
- Military & aerospace product testing
- Wireless & telecom
- Resources
- About
- Blog
- Events
April 28, 2021
Navigating FCC Rule Changes for Radiofrequency Exposure Limits
Written by: Russell Grant
As the use of wireless devices continues to multiply at an alarming rate, concerns around the potential harmful effects to human health rise in equal measures. One of the biggest questions that continues to come up around this discussion is, “What amount of exposure to the radiofrequency energy emitted from these devices is ‘safe’ for humans?” And how can we ensure this level of exposure is not exceeded or immediately mitigated if ever exceeded?
Federal Communications Commission’s Recent Rule Changes
The Federal Communications Commission (FCC) has been the responsible party for determining exposure limits and ensuring that all manufacturers and responsible parties demonstrate compliance with these established regulations. The FCC’s focus has been to ensure all devices entering the U.S. market have been reviewed to ensure they meet all requirements to avoid potential harmful exposure. These rules are crucial for both manufacturers and other responsible parties who market or sell these devices.
The FCC published rules in 2013 related to the methods that may be used to determine and achieve compliance for human exposure to radiofrequency (RF) electromagnetic fields. The requirements are contained in the Commission's Order, FCC 19-126.
Recent Changes to the Rules
Recently, the FCC has made changes to these rules. These changes are primarily related to what classifies being exempt from RF exposure evaluation dependent on measurement or computational methods and mitigation in areas where there are fixed RF sources.
In December 2019, the FCC addressed issues that have been pending since 2013, along with a Notice of Proposed Rulemaking. The FCC rule changes in 1.1307, 2.1091, and 2.1093 relate to:
- No Changes Made to Actual Exposure Limits: The FCC determined that no changes to the allowable exposure limits are necessary at this time.
- Fixed RF Sources: The FCC excludes many fixed RF sources from exposure testing since these devices are often located far away from humans. They are now implementing specific rules for access restriction, signage, and training requirements for these sites.
- Three Categories of Exempt Devices: In an effort to simplify its rules for device manufacturers, the FCC has created three categories of devices that are exempt from testing based on formulas that determine the device’s power level and separation distance from humans.
Exemption from RF Exposure Evaluation
These three categories of devices exempt from RF exposure evaluation include fixed, mobile, and portable devices. These are classified as exempt depending on their power sources, separation distance, and frequency.
Here are how single-source and multi-source exemptions are classified according to the FCC.
Single RF Source Exemptions:
1-mW Blanket Exemption for fixed, mobile, and portable low-power devices that transmit 1 mW or less maximum time-averaged (matched conducted) power. This exemption covers the full frequency range from 100 kHz to 100 GHz and applies for any separation distance, including distances of less than 0.5 cm to no separation distance.
SAR-Based Exemption for fixed, mobile, and portable high-power devices with transmitting antennas that normally operate within 0.5 cm to 40 cm of the human body (and may be less than λ/2π) in the frequency range between 300 MHz and 6 GHz. The available maximum time-averaged (matched conducted) power or effective radiated power (ERP), whichever is greater, is less than or equal to the threshold Pth in the following formula.

MPE-Based Exemption for all other for fixed, mobile, and portable and for frequencies from 300 kHz to 100 GHz.

R = Minimum separation distance in meters from the body of a nearby person
f = Frequency of operation in MHz
R must be at least λ/2π, where λ is the free-space operating wavelength in meters.
If the ERP of a single RF source is not easily obtained, then the available maximum time-averaged power may be used rather than the ERP if the physical dimensions of the radiating structure(s) do not exceed the electrical length of λ/4 or if the antenna gain is less than that of a half-wave dipole (1.64 linear value).
Multiple RF Source Exemptions:
1-mW Exemption for multiple RF sources inside a single device where the available maximum time-averaged power of each source is no more than 1 mW and there is a separation distance of two centimeters between any portion of a radiating structure operating and the nearest portion of any other radiating structure in the same device, except if the sum of multiple sources is less than 1 mW during the time-averaging period, in which case they may be treated as a single source (separation is not required).
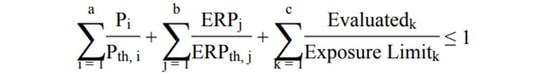
Summation Formulas in the case of multiple fixed RF sources with fixed physical relationship operating in the same time-averaging period, or of multiple mobile or portable RF sources within a device operating in the same time averaging period, if the sum of the fractional contributions to the applicable thresholds is less than or equal to 1 as indicated in the following equation.

Where:
- a equals the number of fixed, mobile, or portable RF sources claiming exemption using the the formula for Pth, including existing exempt transmitters and those being added.
- b equals the number of fixed, mobile, or portable RF sources claiming exemption using the applicable the formula for Threshold ERP, including existing exempt transmitters and those being added.
- c equals the number of existing fixed, mobile, or portable RF sources with known evaluation for the specified minimum distance.
- Pi equals the available maximum time-averaged power or the ERP, whichever is greater, for a fixed, mobile, or portable RF source i at a distance between 0.5 cm and 40 cm (inclusive).
- Pth,i equals the exemption threshold power (Pth) according to the formula for a fixed, mobile, or portable RF source i.
- ERPj equals the available maximum time-averaged power or the ERP, whichever is greater, of a fixed, mobile, or portable RF source j.
- ERPth,j equals the exemption threshold ERP for a fixed, mobile, or portable RF source j, at a distance of at least λ/2π, according to the formula at the location in question.
- Evaluatedk equals the maximum reported SAR or MPE of fixed, mobile, or portable RF source k either in the device or at the transmitter site from an existing evaluation.
- Exposure Limitk equals either the general population/uncontrolled maximum permissible exposure (MPE) limit or specific absorption rate (SAR) limit for each fixed, mobile, or portable source, as applicable.
RF Exposure Evaluation
If an exemption cannot be met, a routine environmental evaluation must be performed by a qualified laboratory to ensure that the exposure limits are not exceeded. The evaluation can be performed by measurement or by computation using any valid computational method.
Mitigation for Transmitter Sites with Fixed RF Sources
There are four categories (Figure 1.) related to mitigation actions for sites with fixed RF sources where RF exposure limits may be exceeded:
- Category One applies to locations where the operational characteristics of RF sources would not cause the exposure limit for the general population to be exceeded even with continuous or with source-based time-averaged exposure.
- Category Two signs and positive access controls are required where the continuous exposure limit would be exceeded for the general population, but not for occupational personnel.
- Category Three applies to locations where the exposure limit for occupational personnel would be exceeded potentially by up to a factor of ten.
- Category Four applies to locations where the exposure limit for occupational personnel would be exceeded by more than a factor of ten, or where there is a possibility for serious contact injury, such as a severe burn, permanent tissue damage, or shock.

Other information collection requirements associated with the FCC’s RF Safety Rulemaking Second Report and Order relating to 47 CFR 1.1307, 2.1091, and 2.1093 are effective May 3, 2021.
New Notice of Proposed Rulemaking
The FCC is currently seeking comment on two additional proposed rules:
- SAR Below 100 kHz and Above 6 GHz: This will address mobile devices (falling into the SAR category) that operate above 6 GHz. With 5G rolling out in waves, this issue has become urgent to address.
- Wireless Power Transfer (WPT): To support the Internet of Things (IoT) at a distance, the WPT industry needs more precise regulatory standards to allow these technologies in the U.S. marketplace. There is a need for rules related to technology that operates at both a “local” level (within 50 cm) and over greater distances simultaneously.
Future Preparation for Compliance
There will be a transition period of two years from the effective date of these new rules to complete the evaluations and comply with the more specific RF exposure mitigation requirements such as access control, signage, power reductions, and training for workers.
See how Nemko can assist your organization with the FCC authorization process by visiting our website for more information.
Russell Grant
Russell Grant is located in Nemko’s Toronto office and is the leader for Nemko’s FCC and ISED Canada certification programs for the Nemko Group. He has extensive experience in the wireless and telecommunications industry and provides technical and procedural expertise worldwide for the Nemko Group, which includes...
Other posts you might be interested in
Navigating AI Management: ISO 42001 Guide for Businesses
November 9, 2024
//
AI - Artificial Intelligence
International cyber security certification of consumer products
August 1, 2024
//
Cyber security
Taiwan Updates Regulated Electrical & Electronic Products List
November 3, 2023
//
Global Market Access